ISSN 1009-6248CN 61-1149/P 双月刊

主管单位:中国地质调查局

主办单位:中国地质调查局西安地质调查中心
中国地质学会

    高级检索

    造山带洋陆转换过程与岩浆作用:以东昆仑都兰地区古生代花岗岩为例

    Ocean−Continent Transition Process and Magmatism in Orogenic Belts: A Case Study of Paleozoic Granites in the Dulan Area of East Kunlun

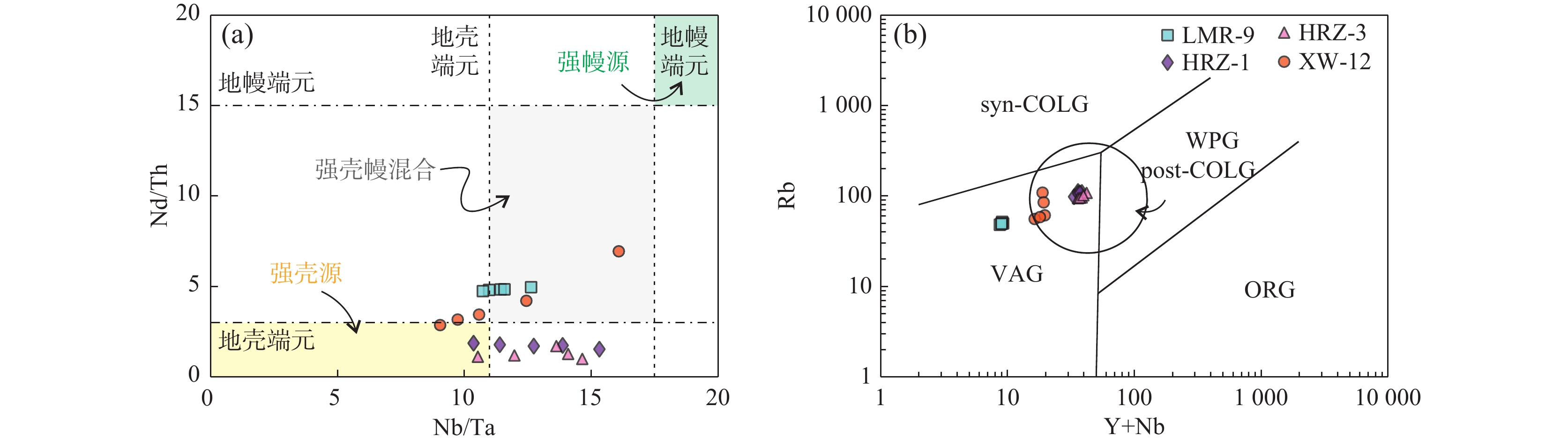
    • 摘要: 洋陆转换过程中俯冲−碰撞(增生)−后碰撞各阶段具有不同岩浆作用,其中板片俯冲和岩石圈拆沉−减薄机制尤其受到关注。东昆仑造山带位于青藏高原北部,是秦祁昆中央造山带的重要组成部分,在早古生代经历了原特提斯洋陆转化过程。笔者通过对东昆仑东段都兰地区古生代花岗岩进行年代学、全岩地球化学和Sr−Nd−Hf同位素研究,认为浪木日中志留世(429±4 Ma)花岗岩形成于洋壳俯冲阶段,具有埃达克质岛弧岩浆属性,与热俯冲机制下的洋壳部分熔融有关;希望沟与哈日扎早泥盆世(416~403 Ma)花岗岩形成于后碰撞阶段,分别显示I型和A型花岗岩特征,与新生下地壳的部分熔融和岩石圈减薄作用有关。综合区域古生代花岗岩地球化学资料表明,东昆仑东西段岩浆岩差异可能是洋脊俯冲所致。

       

      Abstract: The subduction−collision (accretion)−post−collision stages in the ocean−continent transition process have different magmatisms, among which the slab subduction and lithosphere delamination−thinning mechanisms have received special attention. The East Kunlun orogenic belt is located in the northern part of the Qinghai−Tibet Plateau, and is an important part of the Qin−Qi−Kun central orogenic belt, which has experienced the transformation process of the Proto−Tethys Ocean and Continent in the Early Paleozoic. Based on the geochronology, whole−rock geochemistry and Sr−Nd−Hf isotope studies of the Paleozoic granites in the Dulan area, eastern Kunlun, this paper suggests that the Langmuri Middle Silurian (429±4 Ma) granites were formed in the subduction stage of the oceanic crust. It has the property of adakitic island arc magma, which is related to the partial melting of oceanic crust under the mechanism of thermal subduction. The Xiwanggou and Harizha Early Devonian (416 ~ 403 Ma) granites were formed in the post−collision stage, showing the characteristics of I−type and A−type granites, respectively, which are related to the partial melting of the young lower crust and thinning of the lithosphere. The comprehensive regional Paleozoic granite geochemical data indicate that the difference of magmatic rocks in the east and west of East Kunlun may be caused by ocean ridge subduction.

       

    /

    返回文章
    返回