ISSN 1009-6248CN 61-1149/P 双月刊

主管单位:中国地质调查局

主办单位:中国地质调查局西安地质调查中心
中国地质学会

    高级检索

    黄河三角洲典型植被–土壤主要营养成分特征分析

    Analysis Main Nutrient Components of Typical Vegetation and Soil in the Yellow River Delta

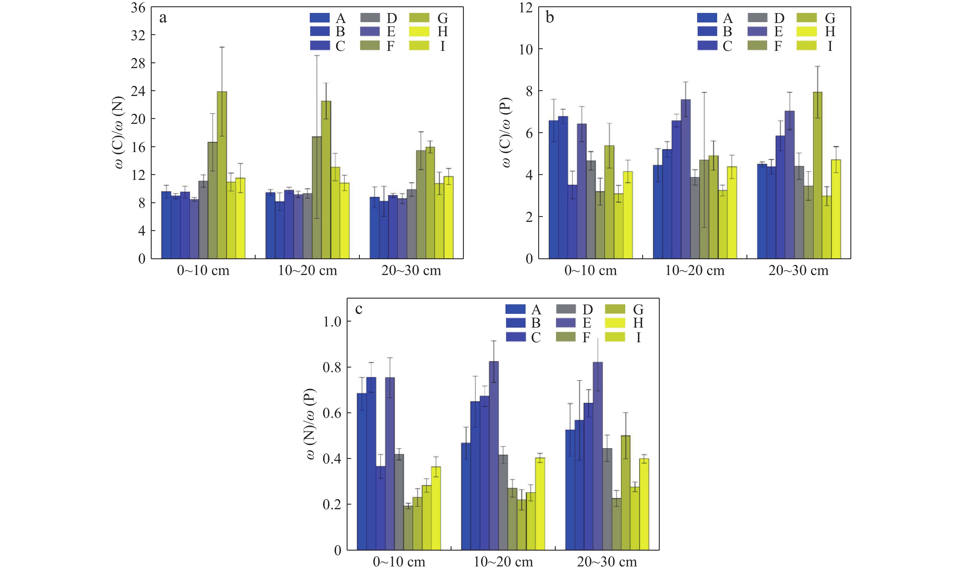
    • 摘要: 黄河三角洲湿地是暖温带保存最典型的湿地生态系统。受人类活动、黄河频繁改道与入海水沙快速变化的影响,湿地的植被覆盖度与群落结构等均随之快速变化,进而影响土壤的营养成分。为查明黄河三角洲典型植被土壤的碳氮磷生态化学计量比,笔者以山东省东营市黄河三角洲为研究区,采集典型天然植被、裸土和农作物的土壤样品(0~30 cm)并测定有机碳、总氮、总磷营养成分含量。结果表明:①不同植被类型的土壤中总有机碳含量:大豆(Glycine max)>玉米(Zea mays)>棉花(Gossypium spp.)>裸土>高粱(Sorghum bicolor )>翅碱蓬(Suaeda salsa)>互花米草(Spartina alterniflora)>芦苇(Phragmites australis)>柽柳(Tamarix chinensis);总氮含量:大豆>棉花>高粱>互花米草>翅碱蓬>裸土>玉米>柽柳>芦苇。②在0~10 cm土层中,营养元素在土壤中的质量分数ω(C)/ω(N):裸土>芦苇>翅碱蓬>互花米草>柽柳>棉花>高粱>大豆>玉米;ω(N)/ω(P):大豆>玉米>棉花>互花米草>高粱>翅碱蓬>柽柳>裸土>芦苇;ω(C)/ω(P):大豆>棉花>玉米>裸土>互花米草>翅碱蓬>高粱>芦苇>柽柳。③农业利用对土壤的总氮和总磷都有富集作用,大豆土壤的各种营养成分都高于其他几种农作物土壤;天然植被有机碳的含量都比裸土的低,互花米草和裸土的总氮含量在20~30 cm土层中比其他天然植被的高出一倍;不同植被类型对土壤氮的积累的影响差异较大,而互花米草对不同土层土壤的氮积累都表现出抑制效果。总之,天然植被和农作物对土壤营养成分的影响比较复杂,天然植被对土壤的营养成分的消耗大于富集,而农作物及农业利用对土壤营养成分的富集大于消耗。

       

      Abstract: The Yellow River Delta wetland represents one of the most typical ecosystems in the temperate zone. Influenced by human activities, frequent channel shifts of the Yellow River, and rapid changes in sediment discharge to the sea, the vegetation cover and community structure of the wetland have undergone rapid changes, subsequently affecting soil nutrient components. In order to elucidate the ecological stoichiometry of carbon, nitrogen, and phosphorus in typical vegetation soils of the Yellow River Delta, this study focused on the Dongying City region in Shandong Province. Soil samples (0 to 30 cm) were collected from typical natural vegetation, bare soil, and crops, and the concentrations of organic carbon, total nitrogen, and total phosphorus were determined. The results indicated that: ① Total organic carbon content in soils of different vegetation types followed the order: Glycine maxZea maysGossypium spp. > bare soil > Sorghum bicolorSuaeda salsaSpartina alternifloraPhragmites australisTamarix chinensis; Total nitrogen content showed the order: Glycine maxGossypium spp.Sorghum bicolorSpartina alternifloraSuaeda salsabare soilZea maysTamarix chinensisPhragmites australis. ② In the 0 to 10 cm soil layer, the soil ω(C)/ω(N) ratios were in the order: bare soil >Phragmites australisSuaeda salsaSpartina alternifloraTamarix chinensisGossypium spp.Sorghum bicolorGlycine maxZea mays; ω(N)/ω(P) ratios followed the order: Glycine maxZea maysGossypium spp.Spartina alternifloraSorghum bicolorSuaeda salsaTamarix chinensis > bare soil >Phragmites australis; ω(C)/ω(P) ratios were in the order: Glycine max > Gossypium spp.Zea mays > bare soil > Spartina alternifloraSuaeda salsaSorghum bicolorPhragmites australis > Tamarix chinensis. ③ Agricultural utilization had an enriching effect on total nitrogen and total phosphorus in the soil. The nutrient content in Glycine max soil was higher than that in the soils of other crops. The organic carbon content in natural vegetation was lower than that in bare soil. Spartina alterniflora and bare soil had double the total nitrogen content in the 20 to 30 cm soil layer compared to other natural vegetation. Different vegetation types had a significant impact on soil nitrogen accumulation, and Spartina alterniflora exhibited an inhibitory effect on nitrogen accumulation in different soil layers. In conclusion, the influence of natural vegetation and crops on soil nutrient components is complex, with natural vegetation consuming more nutrients than accumulating, while crops and agricultural utilization contribute more to nutrient enrichment than depletion.

       

    /

    返回文章
    返回