ISSN 1009-6248CN 61-1149/P 双月刊

主管单位:中国地质调查局

主办单位:中国地质调查局西安地质调查中心
中国地质学会

    高级检索

    盐溶液渗吸–干燥循环下砂岩盐胀风化机制研究

    Mechanism of Salt Swelling Weathering of Sandstone Subjected to Cyclic Imbibition of Saline and Drying

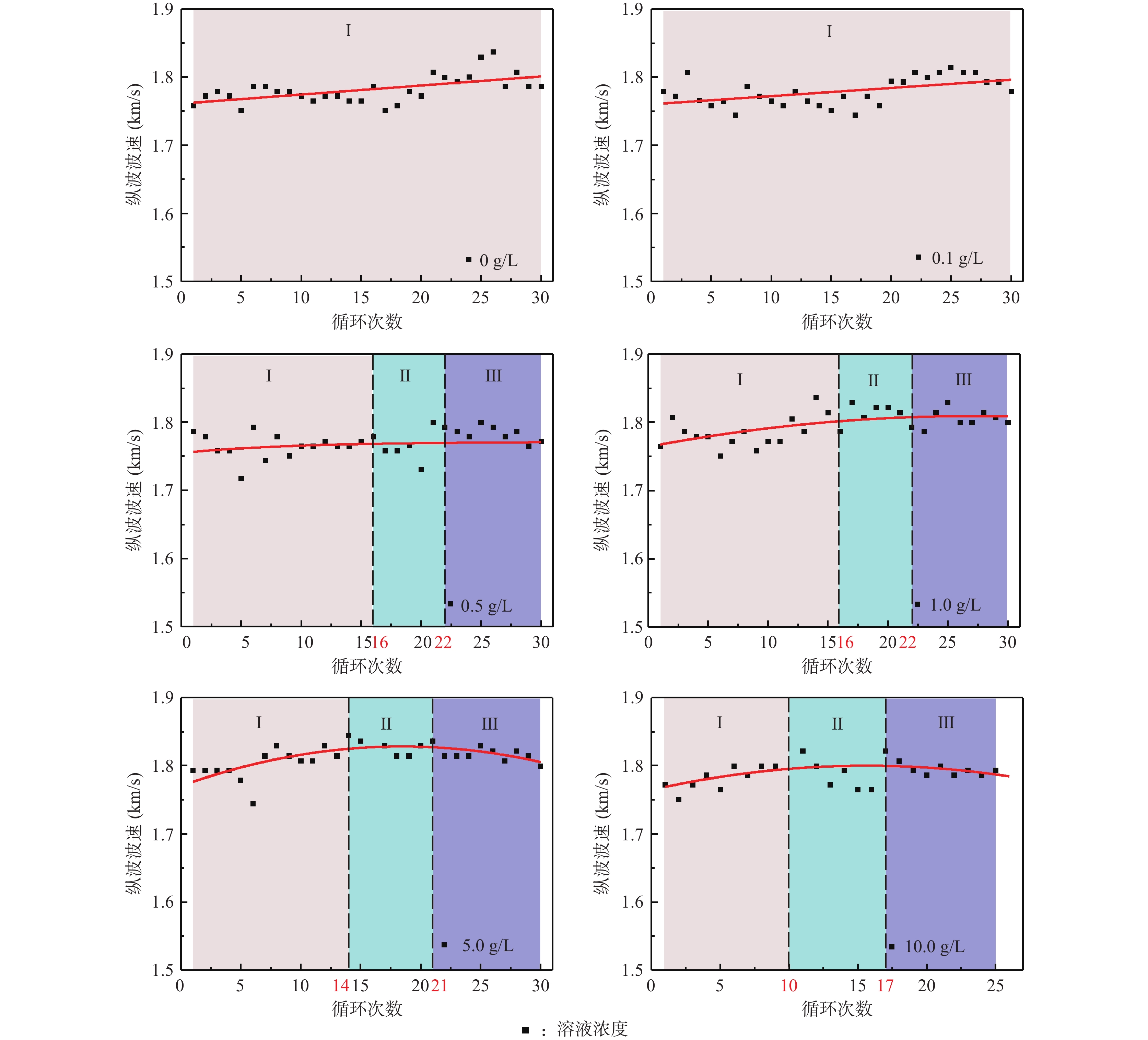
    • 摘要: 研究含盐溶液渗吸–干燥循环过程中岩石孔隙的演化和表面风化特征,是全面了解岩石风化的前提。笔者设计了6个Na2SO4溶液浓度的渗吸–干燥循环实验,测试了30次循环后砂岩的干燥质量差、吸水质量、纵波波速、核磁共振T2谱和三维形貌等参数,得到以下结论:①在渗吸–干燥循环过程中,盐结晶初步堵塞了砂岩孔隙,结晶不断积累,最终导致孔隙的破坏,砂岩的物理性质逐步劣化。随着循环次数的增加,砂岩的干燥质量差、渗吸质量、纵波速度等参数的变化规律可根据结晶对孔隙的作用划分为3个阶段。②上述测试参数在各个阶段的变化速率与盐溶液浓度成正比。③盐结晶发生在毛细渗吸和干燥两个过程中,随着循环数的增加,盐结晶的产生、聚集、重结晶和膨胀共同作用促进砂岩表面矿物颗粒的脱落。砂岩表面形貌测试结果与溶液浓度和循环次数均成正比。

       

      Abstract: Investigating the pore structure modification and damage features of porous rocks under cyclic imbibition of saline and drying is the premise of building up a full picture of rock weathering. In this study, we designed the experiments on the imbibition-drying cycle under 6 concentrations of Na2SO4 solutions, and tested difference in dry mass, imbibition mass, P-wave velocity, NMR T2 spectrum and three-dimensional morphology in sandstone after 30 cycles. The following conclusions were obtained: ①During the imbibition-drying cycle, the salt crystals initially blocked the pores, and the crystals continued to accumulate, which ultimately led to the destruction of the pores and the gradual deterioration of the physical properties of the sandstone. With the increase in number of cycles, the test parameters such as difference in drying mass, imbibition mass and P-wave velocity of sandstone exhibited a three-stage variational trend.②The rate of variation in above test parameters at each stage is proportional to the concentration.③The crystallization occurs in both capillary imbibition and drying. With the increase in cycles numbers, the generation, accumulation, recrystallization and enlargement of crystals contributes to mineral grains shedding on the surface of sandstone. The morphology was proportional to the number of cycles and solution concentrations.

       

    /

    返回文章
    返回