ISSN 1009-6248CN 61-1149/P 双月刊

主管单位:中国地质调查局

主办单位:中国地质调查局西安地质调查中心
中国地质学会

    高级检索

    基于波速响应的裂隙岩体粉煤灰注浆效果分析

    Analysis of Fly Ash Grouting Effect in Fractured Rock Mass Based on Wave Velocity Response

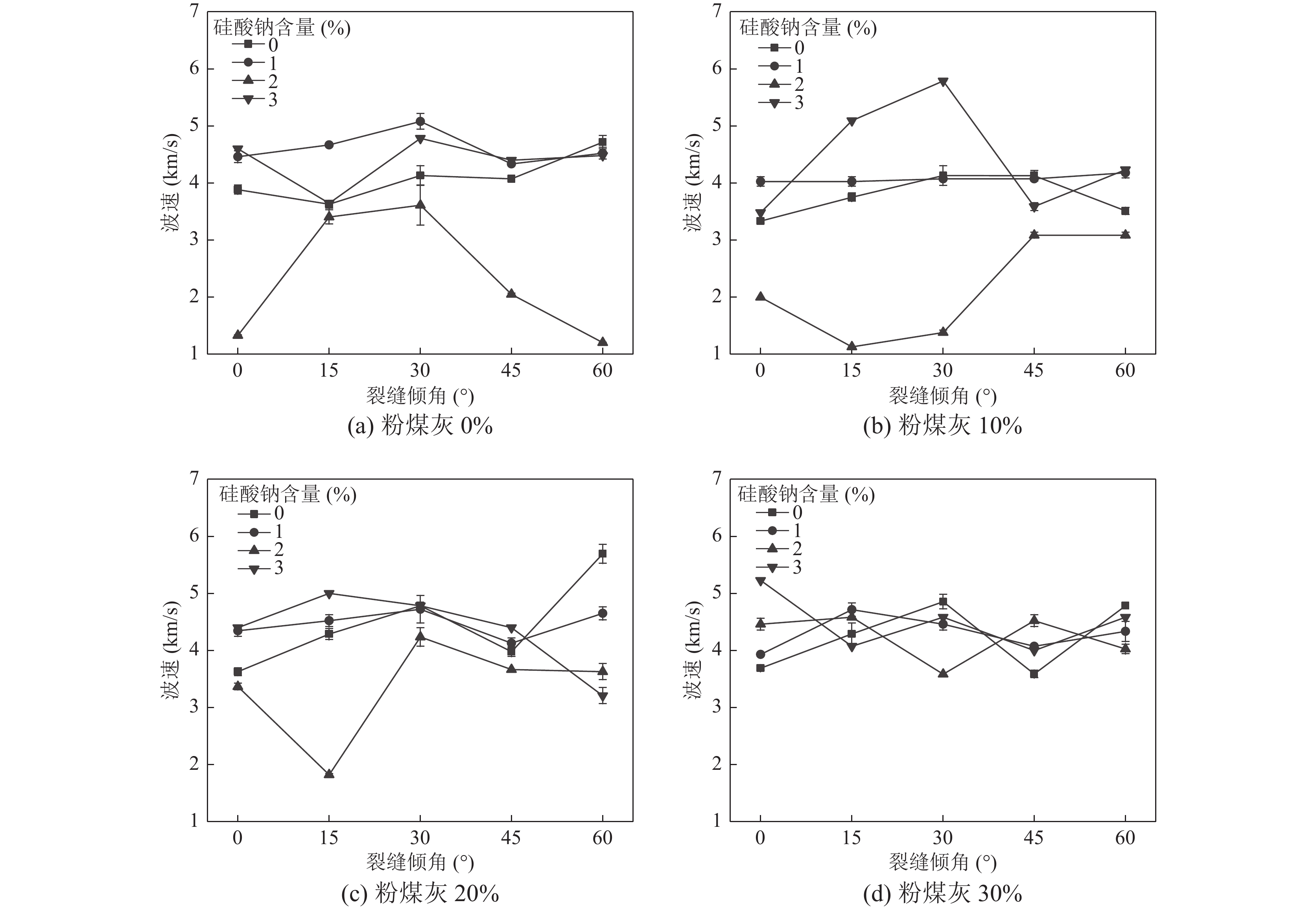
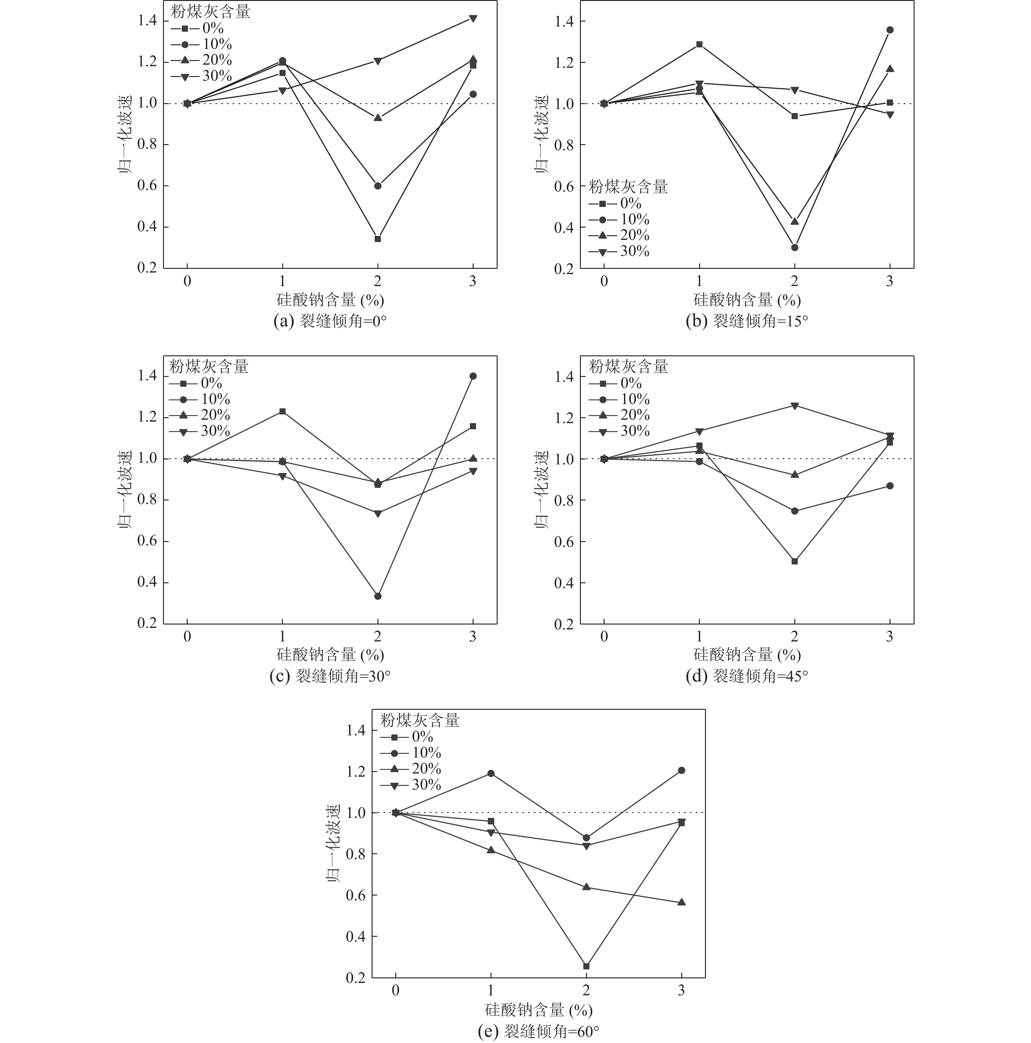
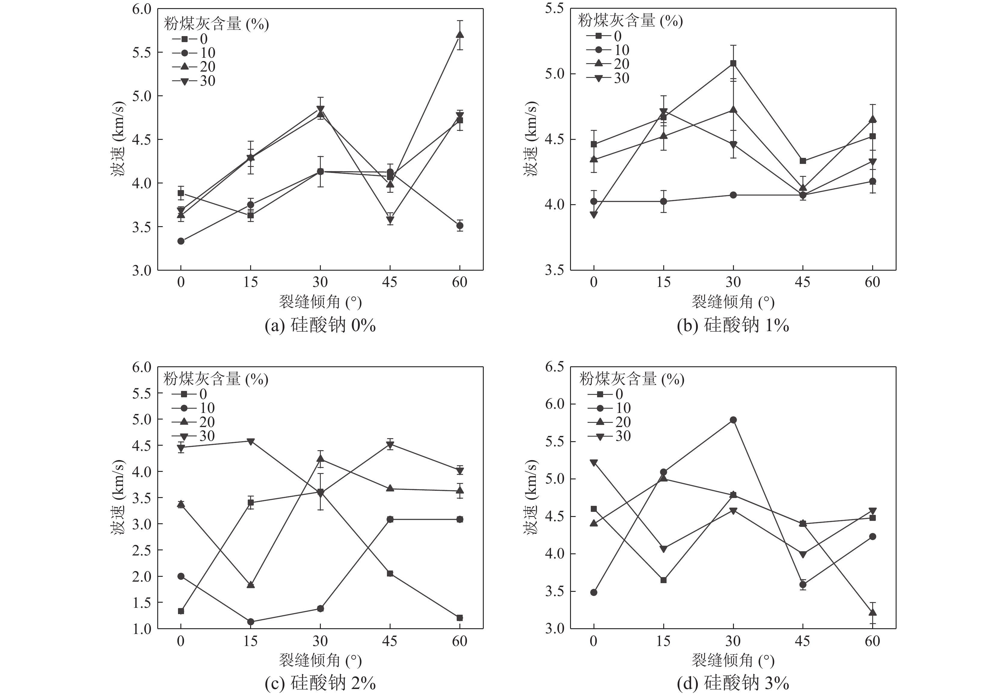
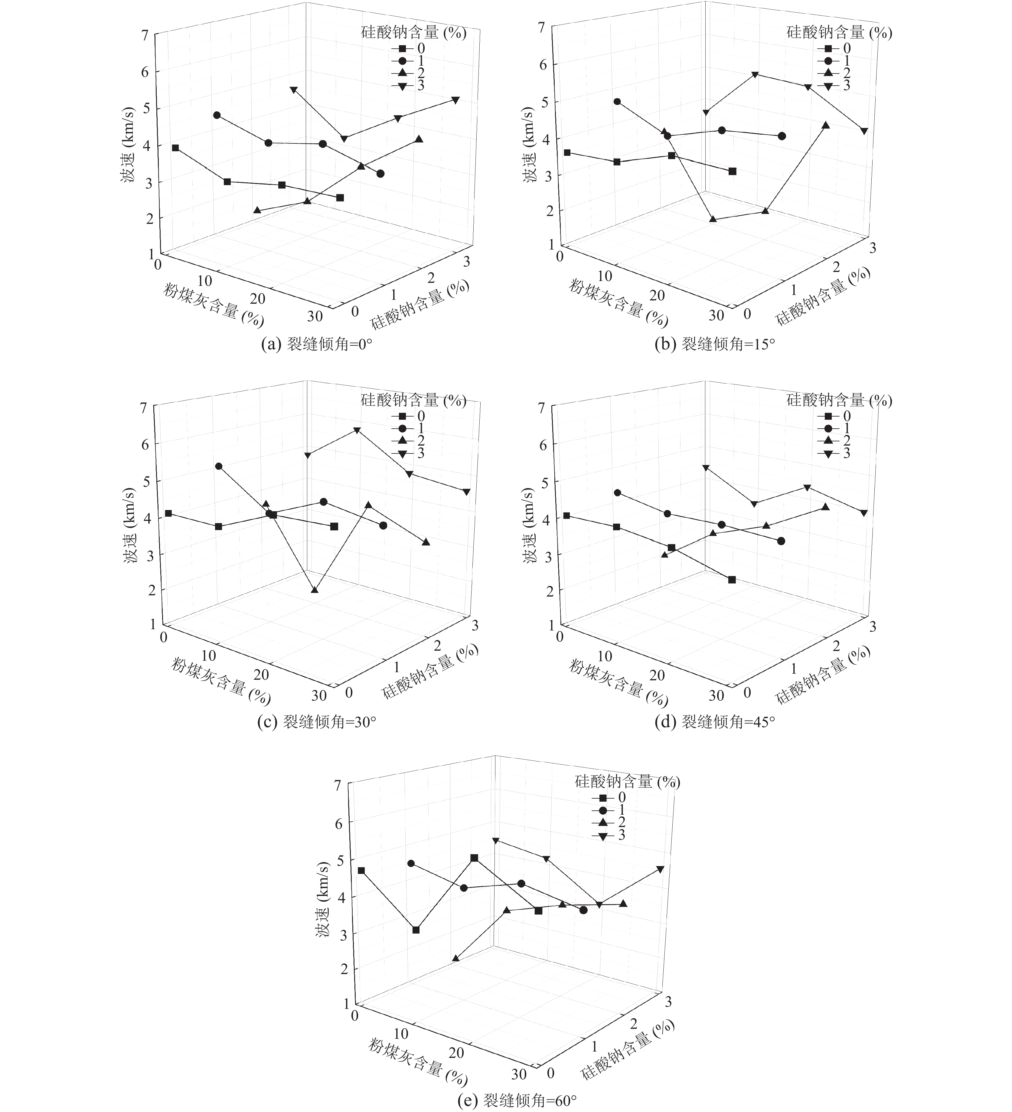
    • 摘要: 煤炭资源开发过程中产生的粉煤灰严重占用土地并污染环境,将其回收利用对保护生态环境与提高社会经济效益意义重大。为研究粉煤灰注浆材料与碱激发剂掺量对裂隙岩体注浆效果的影响,制备了不同掺量粉煤灰(0%、10%、20%、30%)与硅酸钠(0%、1%、2%、3%)的水泥浆液,将其注入含有不同角度预制裂缝岩体的贯通裂隙中,待其凝固结实养护后,对结石体进行波速测试。结果表明:硅酸钠含量小于1%时,波速随裂缝倾角的增大稍有增加,但并不显著,随粉煤灰的增加无明显变化,说明硅酸钠含量较少无法与粉煤灰完全反应;硅酸钠含量为2%,波速随硅酸钠的增大存在明显的下降段,说明此时粉煤灰与硅酸钠充分反应通过缩聚过程形成地质聚合物,这些聚合物填充了颗粒之间的空隙,降低孔隙的连通性,使得浆体内部微裂纹减少,结构致密,波速显著减低;硅酸钠含量为3%时出现过碱,过量的硅酸钠会形成无机泡沫,阻碍反应过程,导致地质聚合物形成量减少,颗粒之间空隙增多,孔隙度增大,进而引起波速增大。研究结果为粉煤灰综合利用提供一定的借鉴与参考。

       

      Abstract: Fly ash generated during the development of coal resources seriously occupies land and pollutes the environment, and its recycling is of great significance to the protection of the ecological environment and the improvement of social and economic benefits. In order to study the influence of fly ash grouting material and alkali activator content on grouting effect of fractured rock mass, cement grout with different contents of fly ash (0%, 10%, 20%, 30%) and sodium silicate (0%, 1%, 2%, 3%) was prepared and injected into through cracks of rock mass with prefabricated cracks at different angles. The wave velocity of the junction entity is tested. The results show that when the content of sodium silicate is less than 1%, the wave velocity increases slightly with the increase of crack angle, but it is not significant, and there is no obvious change with the increase of fly ash, indicating that the content of sodium silicate is too small to completely react with fly ash. When the content of sodium silicate is 2%, the wave velocity decreases significantly with the increase of sodium silicate, indicating that fly ash and sodium silicate fully react to form geopolymers through the polycondensation process. These polymers fill the voids between particles, reduce the connectivity of pores, and result in fewer internal cracks, dense structure, and significantly reduced wave velocity. When sodium silicate content is 3%, excessive sodium silicate will form inorganic foam, hinder the reaction process, resulting in a decrease in the formation of geopolymer, an increase in the space between particles, an increase in porosity, and thus an increase in wave velocity. The research results provide a certain reference for the work of fly ash and sodium silicate in grouting.

       

    /

    返回文章
    返回