ISSN 1009-6248CN 61-1149/P 双月刊

主管单位:中国地质调查局

主办单位:中国地质调查局西安地质调查中心
中国地质学会

    高级检索

    上扬子地区盐源盆地下泥盆统缩头山组暗色泥岩沉积环境及有机质富集机制

    Sedimentary Environment and Organic Matter Enrichment Mechanisms of the Dark Mudstone in the Lower Devonian Suotoushan Formation, Yanyuan Basin, Upper Yangtze Region

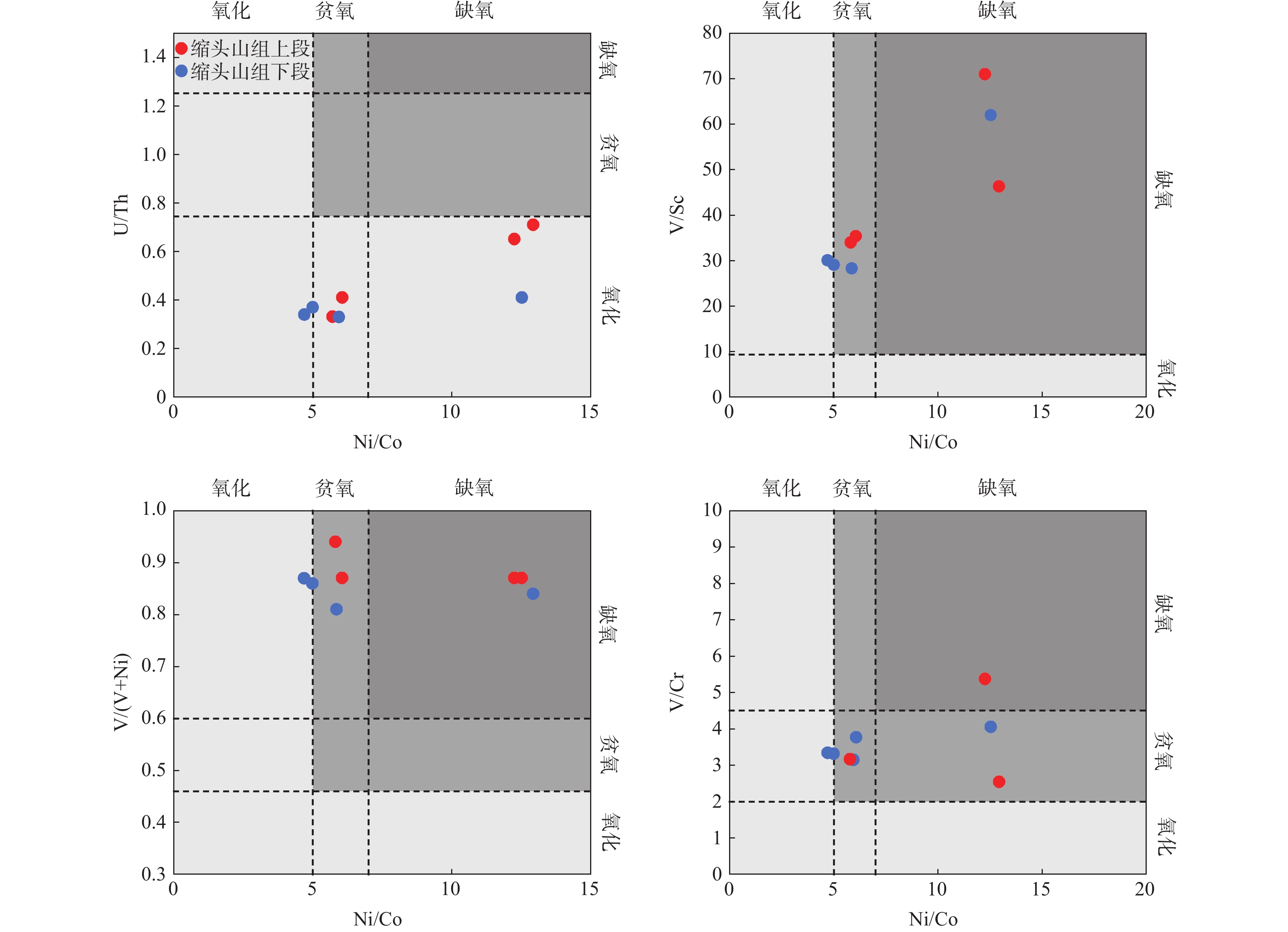
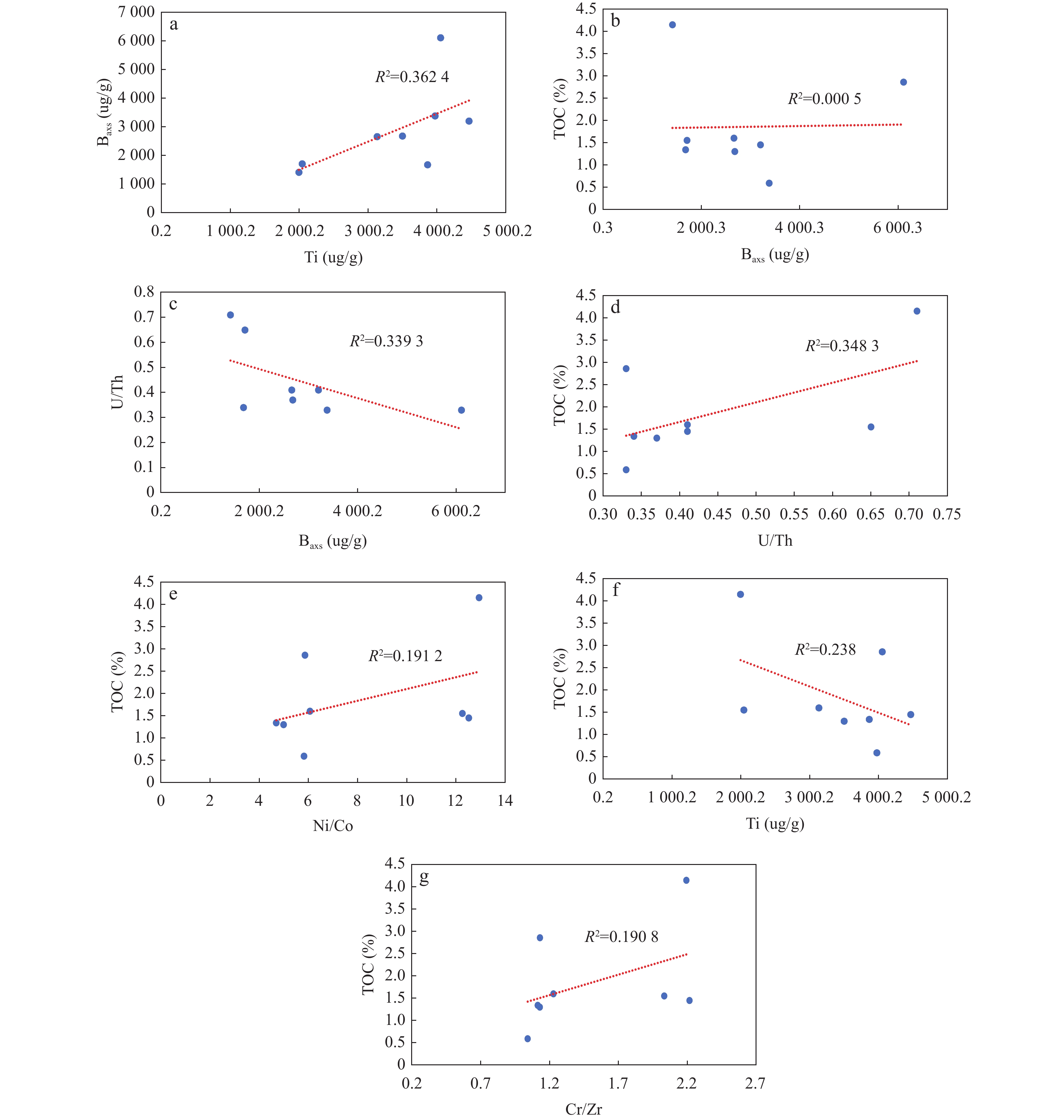
    • 摘要: 盐源盆地下泥盆统缩头山组暗色泥岩是上扬子地区页岩气勘探新层位,研究该套页岩的沉积环境及有机质富集机制,对于上扬子板块西缘非常规油气勘探具有重要意义。此次研究通过对岩石宏微观特征、矿物组分、元素地球化学和有机地球化学等的分析,恢复了盐源盆地下泥盆统缩头山组暗色泥岩沉积期的古气候、古生产力、古氧化还原条件及古盐度,探讨了有机质富集机制。结果表明:研究区缩头山组沉积于镶边台地环境之中,可以识别出潟湖、礁坪、台地边缘、塌积斜坡及盆地五种沉积亚相。缩头山组泥岩TOC含量平均值为1.86%,Ro平均值为1.15%,有机质类型以Ⅱ1和Ⅱ2型为主,脆性指数平均值为64.41,具有较好的页岩气生烃条件和可压裂性。缩头山组沉积期古气候温暖潮湿,海底存在热液活动,水体生产力较高,底水为缺氧还原的环境,水体盐度较低。研究认为:研究区闭塞的潟湖环境、温暖潮湿的古气候、缺氧还原环境、低盐度水体及高古生产力等条件共同促进了缩头山组富有机质泥岩的发育。

       

      Abstract: The dark mudstone of the Suotoushan Formation in the Lower Devonian of the Yanyuan Basin represents a new stratigraphic horizon for shale gas exploration in the Upper Yangtze region. Investigating its sedimentary environment and organic matter enrichment mechanisms holds significant implications for unconventional oil and gas exploration along the western margin of the Upper Yangtze Plate. This study reconstructs the paleoclimate, paleoproductivity, paleo-redox conditions, and paleosalinity during the deposition of the Suotoushan Formation dark mudstone through analyses of rock macro/microscopic characteristics, mineral composition, elemental geochemistry, and organic geochemistry, while exploring organic matter enrichment mechanisms. Results indicate that the Suotoushan Formation was deposited in a rimmed platform environment, comprising five sedimentary subfacies: lagoon, reef flat, platform margin, collapsed slope, and basin. The mudstone exhibits favorable shale gas generation potential with an average TOC content of 1.86%, mean vitrinite reflectance (Ro) of 1.15%, dominant Type II1 and II2 organic matter, and high brittleness index averaging 64.41. During deposition, the basin experienced warm-humid paleoclimate, hydrothermal activity, high aquatic productivity, anoxic reducing bottom water, and low salinity conditions. The study concludes that the combined effects of restricted lagoon environment, warm-humid climate, anoxic conditions, low-salinity water, and elevated paleoproductivity collectively facilitated the development of organic-rich mudstone in the Suotoushan Formation.

       

    /

    返回文章
    返回