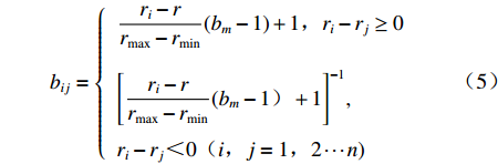
Abstract:
To investigate the water pollution effects of a molybdenum mine’s concentrated mining area in southern Shaanxi Province with a 20–year mining history on the surrounding environment, this study collected water quantity and quality test data for 25 tailings pond acid drainage outlets, including the contents of nine heavy metal elements such as mercury, cadmium, arsenic, lead, copper, zinc, manganese, iron, and molybdenum, to evaluate the compound pollution caused by multiple sources and multiple heavy metals. Using the single pollution index and comprehensive index method, this study compared and analyzed the results with the“Comprehensive Wastewater Discharge Standard (GB 8978–1996)”and the“Surface Water Environmental Quality Standard (GB 3838–2002)”, and calculated the single heavy metal element pollution load based on the amount of discharged water. Furthermore, on the basis of the equal–weight index method, this study used the environmental quality standards as a benchmark and, according to the principle of "the importance of the standard value determines its importance," introduced a three–scale indirect matrix to calculate the relative weights of the nine elements, including Fe, and their pollution loads to determine the environmental risk value of a tailings pond. Finally, this study determined the pollution contribution rate of the 25 tailings ponds to the receiving water body, and provided suggestions for the prioritization of tailings pond pollution source control in the next step, based on the pollution load and environmental risk value, to provide a reference for the formulation of relevant follow–up treatment plans.